|
Cellufine Phenyl en Butyl
For purification of proteins and macromolecules.
Hydrophobic Interaction Chromatography (HIC) is a method which separates
proteins on the basis of their differential interactions with a mildly
hydrophobic surface.
HIC media are porous chromatography particles, manufactured from crosslinked
cellulose to which either a butyl, phenyl or octyl functionality has been
covalently bonded via a short spacer.
Factors which affect hydrophobic interactions include: salt concentrations,
temperature, pH, surfactant and organic solvents. Usually the higher the ionic
strength (salt concentration) the stronger the hydrophobic bond. Consequently
the interaction is enhanced by conditions inverse to that of ion exchange
chromatography. HIC is, therefore, an effective complementary tool for
separating and purifying substances which are difficult or cannot be separated
by ion exchange.
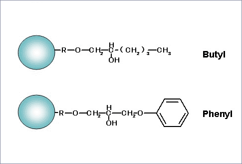
Partial Structure:

Features:
Spherical particles exhibiting high mechanical strength
Butyl, Phenyl, Octyl functionality
Pre-swollen
Virtually no shrinkage or swelling
Stable in organic solvents and surfactants
Stable coupling chemistry
Resistant to 0.2 M NaOH
Autoclavable (121 °C, 20 min)
Benefits:
High flow rates allowing rapid chromatography and direct scale-up
Enables optimum selectivity to be obtained
Easy packing
Easy large scale operation. No shrinkage at high salt concentrations
Enables range of solvent systems to be utilized
Resistant to cleaning and elution conditions
Sterilizable
Regulatory support

Hydrophobicity of Matrix:
The degree of hydrophobicity increases in the order of Butyl < Phenyl <
Octyl. In general hydrophobic proteins will be more strongly adsorbed to
Cellufine Octyl than Cellufine Butyl. However, if the protein is too strongly
adsorbed, difficulty may be experienced in elution. The aromatic nature of the
Cellufine Phenyl may, in certain cases, give improved selectivity compared to
either the Butyl or Octyl matrices. Consequently it is difficult to generalize
and each application needs to be evaluated separately to select the optimal
media functionality.

Column : 8.2 x 150 mm
Column Vol. : 8 ml
Buffer : 2.0 0.0M
Ammonium Sulfate
in 0.01M phosphate, pH 7.0
Flow Rate : 1.32 ml/min
Sample : 5 mg/3 ml 100 ľl
Figure 1. The retention increases with an increase in the
carbon chain and aromatic structure of the functional group as a result of
stronger hydrophobic interaction.
Flow Properties:
The semi-rigid structure of Cellufine HIC, combined with the spherical bead
shape, gives excellent flow rates with higher operating pressures. Flow rates in
excess of 100 cm/hr are achieved at pressure drops of 1 bar, even in large
diameter process columns.

Buffer : 0.01M Phosphate buffer (pH 7.0)
Temperature : 23 °C
Columns : (a) 22 x 300 mm
(Vc = 0.11 liters)
(b) 90 x 200 mm
(Vc = 1.27 liters)
(c) 250 x 250 mm
(Vc = 12.26 liters)
Adsorption Capacity and Recovery Ratio:

|